Упр.720 ГДЗ Никольский Потапов 7 класс (Алгебра)
Решение #1

Рассмотрим вариант решения задания из учебника Никольский, Потапов 7 класс, Просвещение:
Решите систему уравнений (720—721):
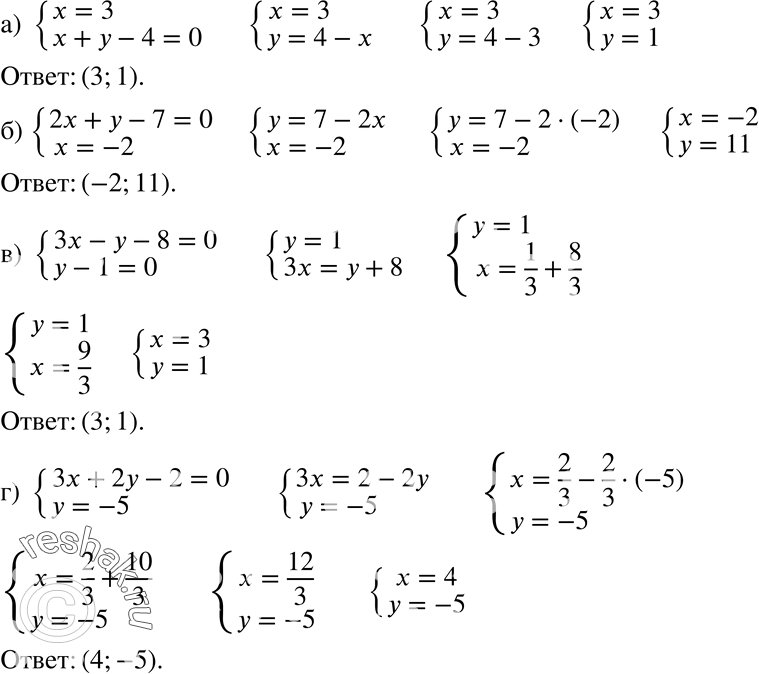
720 а) система
x=3,
x+y-4=0;
б) система
2x+y-7=0,
x=-2;
в) система
3x-y-8=0,
y-1=0;
г) система
3x+2y-2=0,
y=-5.
*размещая тексты в комментариях ниже, вы автоматически соглашаетесь с пользовательским соглашением