Упр.629 ГДЗ Никольский Потапов 6 класс (Математика)
Решение #1

Рассмотрим вариант решения задания из учебника Никольский, Потапов, Решетников 6 класс, Просвещение:
629. Решите уравнение:
а) 3(x+2)-x=10;
б) 8=3(x-4)-x;
в) 4x+3(x-7)=5;
г) 3(x-1)+x=2x;
д) 5-x=4(x-3);
е) 5(x+4)+x=6;
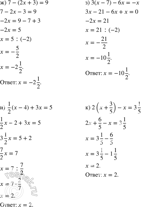
ж) 7-(2x+3)=9;
з) 3(x-7)-6x=-x;
и) 1/2 (x-4)+3x=5;
к) 2(x+3/5)-x=3 1/5;
л) 5x-(1/2 x+9)=18;
м)-2(1/3 x+7)=-21.
*размещая тексты в комментариях ниже, вы автоматически соглашаетесь с пользовательским соглашением