Упр.490 ГДЗ Никольский Потапов 9 класс (Алгебра)

Решение #1

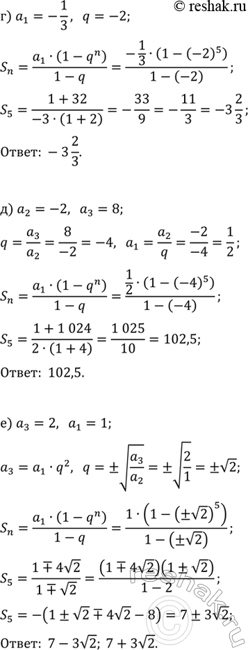
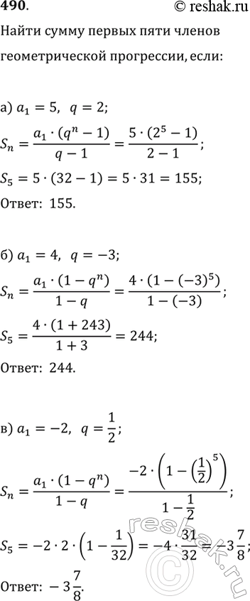
Изображение 490. Найдите сумму первых пяти членов геометрической прогрессии, если:а) a1=5,q=2б) a1=4,q=-3в) a1=-2,q=1/2г) a1=-1/3,q=-2 д) a1=-2,a3=8е)...
Дополнительное изображение

Решение #2

Изображение 490. Найдите сумму первых пяти членов геометрической прогрессии, если:а) a1=5,q=2б) a1=4,q=-3в) a1=-2,q=1/2г) a1=-1/3,q=-2 д) a1=-2,a3=8е)...
Дополнительное изображение

Рассмотрим вариант решения задания из учебника Никольский, Потапов 9 класс, Просвещение:
490. Найдите сумму первых пяти членов геометрической прогрессии, если:
а) a1=5,q=2
б) a1=4,q=-3
в) a1=-2,q=1/2
г) a1=-1/3,q=-2
д) a1=-2,a3=8
е) a3=2,a1=1
*Цитирирование задания со ссылкой на учебник производится исключительно в учебных целях для лучшего понимания разбора решения задания.
*размещая тексты в комментариях ниже, вы автоматически соглашаетесь с пользовательским соглашением