Упр.411 ГДЗ Никольский Потапов 9 класс (Алгебра)

Решение #1

Изображение 411. Найдите сумму первых шести членов последовательности, заданной формулой общего члена:а) аn = Зn + 2;	б) аn = (-1)^n •...

Решение #2

Изображение 411. Найдите сумму первых шести членов последовательности, заданной формулой общего члена:а) аn = Зn + 2;	б) аn = (-1)^n •...

Рассмотрим вариант решения задания из учебника Никольский, Потапов 9 класс, Просвещение:
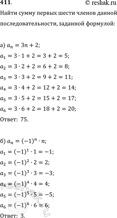
411. Найдите сумму первых шести членов последовательности, заданной формулой общего члена:
а) аn = Зn + 2; б) аn = (-1)^n • n.
*Цитирирование задания со ссылкой на учебник производится исключительно в учебных целях для лучшего понимания разбора решения задания.
*размещая тексты в комментариях ниже, вы автоматически соглашаетесь с пользовательским соглашением