Упр.366 ГДЗ Никольский Потапов 9 класс (Алгебра)

Решение #1

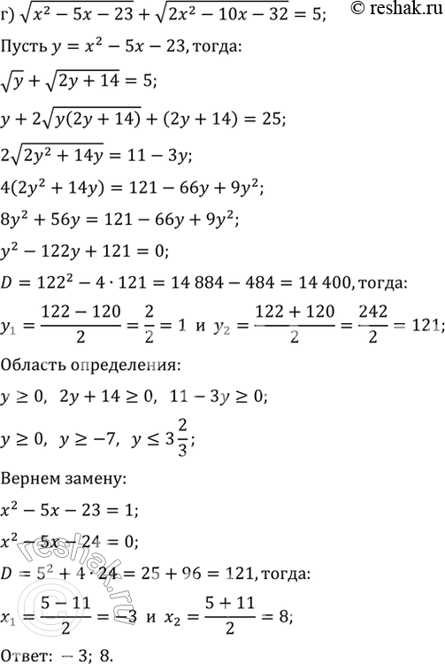
Изображение 366.а) v(x^2+2x+10)+v(x^2+2x+17)=7б) v(x^2+6x+10)+v(x^2+6x+13)=3в) v(x^2+3x-1)+v(2x^2+6x-4)=7г) v(x^2-5x-23)+v(2x^2-10x-32)=5 д)...
Дополнительное изображение
Дополнительное изображение
Дополнительное изображение

Решение #2

Изображение 366.а) v(x^2+2x+10)+v(x^2+2x+17)=7б) v(x^2+6x+10)+v(x^2+6x+13)=3в) v(x^2+3x-1)+v(2x^2+6x-4)=7г) v(x^2-5x-23)+v(2x^2-10x-32)=5 д)...
Дополнительное изображение
Дополнительное изображение
Дополнительное изображение
Дополнительное изображение
Дополнительное изображение
Дополнительное изображение

Рассмотрим вариант решения задания из учебника Никольский, Потапов 9 класс, Просвещение:
366.
а) v(x^2+2x+10)+v(x^2+2x+17)=7
б) v(x^2+6x+10)+v(x^2+6x+13)=3
в) v(x^2+3x-1)+v(2x^2+6x-4)=7
г) v(x^2-5x-23)+v(2x^2-10x-32)=5
д) 1/v(x^2-6x+10)+2/v(x^2-6x+13)=2
е) 1/v(x^2-8x+18)+2/v(x^2-8x+24)=v2
*Цитирирование задания со ссылкой на учебник производится исключительно в учебных целях для лучшего понимания разбора решения задания.
*размещая тексты в комментариях ниже, вы автоматически соглашаетесь с пользовательским соглашением