Упр.154 ГДЗ Никольский Потапов 9 класс (Алгебра)

Решение #1

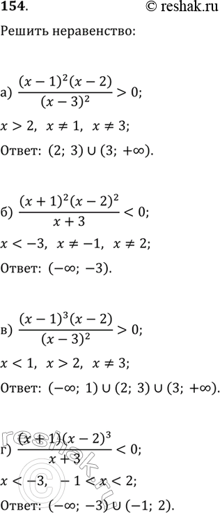
Изображение 154.а)  ((x-1)^2 (x-2))/(x-3)^2 >0 б)  ((x-1)^2 (x-2)^2)/(x-3)^2 0 г)  ((x+1) (x-2)^3)/(x+3)>0...

Решение #2

Изображение 154.а)  ((x-1)^2 (x-2))/(x-3)^2 >0 б)  ((x-1)^2 (x-2)^2)/(x-3)^2 0 г)  ((x+1) (x-2)^3)/(x+3)>0...

Рассмотрим вариант решения задания из учебника Никольский, Потапов 9 класс, Просвещение:
154.
а) ((x-1)^2 (x-2))/(x-3)^2 >0
б) ((x-1)^2 (x-2)^2)/(x-3)^2 <0
в) ((x-1)^2 (x-2))/(x-3)^2 >0
г) ((x+1) (x-2)^3)/(x+3)>0
*Цитирирование задания со ссылкой на учебник производится исключительно в учебных целях для лучшего понимания разбора решения задания.
*размещая тексты в комментариях ниже, вы автоматически соглашаетесь с пользовательским соглашением